雞肉的清潔劑,擊敗沙門氏菌的小戰士
盡管采取了防控微生物的措施,食源性疾病仍然是全球死亡和住院的主要原因,在與此類疾病相關的病原體中,沙門氏菌仍然是最重要的病原體之一。沙門氏菌主要通過食用受污染的食物傳播,特別是在家禽和家禽相關食品中。為了控制這些病原體,家禽在生產中使用了抗生素,抗生素能夠起到抑制病原菌生長的作用。然而隨著抗生素的濫用,出現了越來越多的耐藥菌。因此,需要重新開始尋找新的抗菌方法,其中噬菌體的使用是一種越來越有吸引力的替代方法。噬菌體是攻擊細菌并導致細菌裂解的病毒。它們豐富且存在于所有自然環境中,具有特定的特征,例如高特異性以及天然性。除了這些特性外,噬菌體還具有強大的抗菌作用,使其成為可以在食品工業中廣泛應用。這在雞肉等食品中已有相關研究報道,并已被用于控制不同的病原體。本研究的目的是確定由五種沙門氏菌噬菌體組成的雞尾酒制劑在不同溫度下在雞肉中的有效性,以探索其在這種和其他食品中的應用。

噬菌體的宿主范圍分析表明,它們能夠裂解測試的26株沙門氏菌中的1至10株。

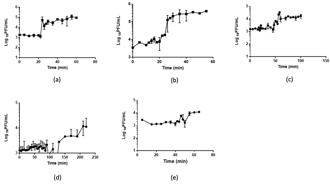
噬菌體A7、A8和B3屬于Siphoviridae,所有這些都有一個二十面體形狀的頭部,非收縮的尾巴。噬菌體A5和A4呈球形,沒有尾巴。

A4和A5的潛伏期最短,約為20分鐘,而A8的潛伏期最長,為100分鐘。噬菌體爆發大小在0.8pfu/cell至1.8pfu/cell之間變化。

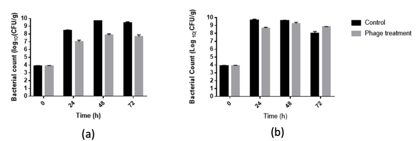
在22℃處理條件下,噬菌體能夠對沙門氏菌降低1.7lg值。

在10℃處理條件下,噬菌體能夠在48h和72h對沙門氏菌降低1.5個lg值和1.2個lg值。
文章結論:在這項研究中,分離了來自自然環境的20株沙門氏菌噬菌體,并設計了由其中5個組成的雞尾酒,其中3個屬于Siphoviridae科,2個屬于Microviridae科。該雞尾酒在10°C和22℃條件下能夠減少雞肉中的沙門氏菌。
參考文獻:Aguilera M, Martínez S, Tello M, Gallardo MJ, García V. Use of Cocktail of Bacteriophage for Salmonella Typhimurium Control in Chicken Meat. Foods. 2022 Apr 17;11(8):1164. doi: 10.3390/foods11081164. PMID: 35454751; PMCID: PMC9029022.
來源:微生物安全與健康網


